Powrót

Rola rezonatorów, zjawisko rezonansu

Przemysław Kojs
Nr indeksu: 8586
Wydział Instrumentalny
Klasa organów
Studia 1. stopnia (lic.): III semestr
Studium pedagogiczne: II semestr


Spis treści

  1. Wprowadzenie
  2. Definicje
  3. Rezonatory w ciele
  4. Co wpływa na rezonans
  5. Moje doświadczenie
  6. Podsumowanie
  7. Źródła

Wprowadzenie

Celem pracy jest opisanie zjawiska rezonansu oraz roli jego i rezonatorów, w kontekście aparatu mowy. Ponieważ zadaną formą był esej - w rozważaniach odwołuję się do wielu naukowych źródeł, które zostały wymienione w przypisanej im sekcji (kliknij, by przejść). Nie były one jednak w żaden sposób narzucone, zatem pozwoliłem sobie poszperać w odmętach internetu i wybrać - moim zdaniem - te najciekawsze.

Definicje

Rezonans jest zjawiskiem fizycznym, konkretniej szybkim wzrostem amplitudy drgań układu fizycznego, gdy częst. zewn. drgań wymuszających f jest zbliżona do częstotliwości drgań własnych układu f0 [1]. Co ciekawe, po raz pierwszy został zauważony przez Galileusza w 1602 r.[2] Ścisłe opisania zostały opracowane w latach późniejszych, przez np. Isaaca Newtona.

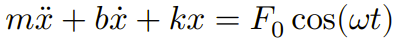
Rezonans w układzie drgającym można opisać równaniem ruchu oscylatora wymuszonego tłumionego:

Obraz przedstawiający wzór fizyczny rezonansu

gdzie:

  • m - masa układu
  • b - współczynnik tłumienia
  • k - współczynnik sprężystości
  • x - wychylenie
  • F0 - amplituda siły wymuszającej
  • ω - częstotliwość siły wymuszającej
  • f0 - częstotliwość drgań własnych = 1/(2π)√(k/m). W kontekście rezonansu mogą pojawić się również dodatkowe czynniki.

Niezwykle ważne jest również założenie, że siła wymuszająca działa okresowo.

Rezonans zachodzi, gdy ω ≈ f0, co prowadzi do znacznego wzrostu amplitudy. W przypadku braku tłumienia (b = 0), amplituda → ∞, przy ω = f0. Amplituda opisywana jest następującym równaniem:

Obraz przedstawiający wzór fizyczny na amplitudę drgań

W kontekście aparatu mowy, mamy do czynienia z rezonansem akustycznym. gdy ciało elastyczne o ściśle określonej liczbie drgań własnych zostaje wprowadzone w drgania przez fale akustyczne, wywołane przez sąsiadując z nim źródło dźwięku o tej samej częstotliwości drgań[3] [4]. Rezonans uznawany jest także za synonim drgań odczuwanych w czasie wydawania głosu[4].

Sam rezonas to jednak nie wszystko - jeżeli drgania nie mają odpowiedniego ośrodka, w którym mogą swobodnie się rozchodzić, to nie odniesiemy pożądanego efektu. Takie ośrodki zwane są rezonatorami. Jest to:

układ akustyczny zamykający pewną przestrzeń powietrzną ograniczoną sztywnymi ścianami. (...) Krtań człowieka jest właśnie takim rezonatorem w kształcie rury zamkniętej z jednej strony przez zwarte więzadła głosowe[3].

Bez rezonatorów nie będziemy mieli takich elementów jak:

  • barwa
  • zróżnicowanie dynamiczne
  • wzmocnienie dynamiczne

Rezonatory w ciele

Rezonator jest to zatem wszystko, co jest w stanie przenosić drgania, co z kolei wpływa na wzmocnienie dźwięku. W ludzkim ciele rezonatory to m.in.[5]:

  • krtań i gardło
  • jama nosowa
  • jama ustna

Tymi rezonatorami możemy regulować - operując policzkami, językiem, ustami, podniebieniem miękkim, co z kolei wpływa na przeróżne parametry dźwięku.

Rezonatorami są też sztywne elementy naszego ciała - kości - przede wszystkim czaszki, kość klatki piersiowej, czy górna część kręgosłupa[5].

Rezonatory można podzielić ze względu na umiejscowienie w ciele. Granicą umowną jest głośnia (szpara głosowa, tworzona przez fałdy głosowe). Podział zawiera[4]:

  1. Rezonator górny - obejmuje 3 komory rezonansowe (gardło z ktranią, jamę nosową, jamę ustną). Głos uzyskuje tutaj odpowiednią siłę przez wzmocnienie albo osłabienie niektórych składowych tonu krtaniowego w odpowiednich jamach rezonujących.
  2. Rezonator dolny - po prostu klatka piersiowa

W kontekście rezonansu głosu ludzkiego - konkretniej różnicowania - zdecydowanie większe znaczenie ma rezonator głowy - przede wszystkim dlatego, że możemy regulować nim w bardzo dużym zakresie, głównie w kontekście barwy. Rezonator piersiowy daje nieco ciemne, zduszone zabarwienie.

Co wpływa na rezonans

Rezonatory to nie wszystko - trzeba umieć poprawnie się posługiwać głosem, żeby wykorzystać ich pełen potencjał. Prawidłowy rezonans charakteryzuje się swobodnym drganiem części kostnych czaszki oraz współdrganiem powietrza zawartego w komorach rezonacyjnych[4].

W kontekście posługiwania się głosem wyróżniamy 3 tzw. rejestry, z których każdy jest podpięty do innego rezonatora (albo zestawu rezonatorów)[4]:

  • Rejestr całościowy (piersiowy) - związany z rejestrem piersiowym
  • Rejestr brzegowy (głowowy) - związany z rejestrem głowowym
  • Rejestr mieszany (średni) - w zależności od wysokości i natężenia dźwięku, jest mieszanką między rejestrem piersiowym i głowowym.

W mowie posługujemy się głównie rejestrem piersiowym - a co za tym idzie - rezonatorem piersiowym. Jak wspominałem wyżej, ten rezonator daje nieco bardziej głuche brzmienie, a próbując mówić głośniej często próbujemy na siłę przeforsować głos.

Moje doświadczenie

Praca miała mieć formę eseju, a na ten moment przypomina bardziej pracę naukową. Pozwolę sobie zatem dodać trochę swoich rozważań, żeby zachować zgodność ze specyfikacją zadania.

Właściwa emisja głosu jest szczególnie ważna w życiu muzyka - nie tylko pedagoga. Trzeba potrafić opowiedzieć o sobie tak, by ludzie to wyraźnie słyszeli i nie odnosili wrażenia krzyczenia czy nadmiernego forsowania głosu.

Kiedyś miałem dość spore problemy z mówieniem czy śpiewaniem donośnie - nie ważne, jak się starałem, zawsze byłem zagłuszany. Przy okazji pisania pracy dość dobrze zastanowiłem się, co tak właściwie sprawiło, że te problemy zniknęły, napiszę zatem właśnie o tym - może ktoś się zainspiruje?

Przede wszystkim - stałem się starszy - człowiek rośnie, a wraz z nim rozwijają się wszystkie rezonatory. Jeżeli martwisz się, że nie potrafisz mówić głośno, zastanów się, ile dorastania jeszcze ci zostało?

Inne aspekty to z pewnością trening głosu - śpiewanie, mówienie przed ludźmi przy okazji koncertów czy nawet rozmowy z rówieśnikami. Krótko mówiąc: trzeba używać głosu, jednocześnie zwracając uwagę, czy nie odczuwamy przy tym zmęczenia gardła. Takie trochę świadome mówienie, nie tylko pod względem merytorycznym (chociaż nad tym również wypada pracować).

Intonacja - używając jej również operujemy różnymi rejestrami. Warto ćwiczyć intonację z myślą o rezonatorze, który jest w użyciu.

To raczej mało wartościowe wskazówki, niemniej jednak - uważam że warto było o tym co nieco powiedzieć.

Podsumowanie

Podsumowując, rezonans jest nieodłącznym elementem emisji głosu, bazą do zmiany brzmienia. Świadome wykorzystywanie odpowiednich przestrzeni może znacznie wpłynąć na jego plastyczność, brzmienie, barwę, natężenie, nasycenie i wiele innych. Należy unikać forsowania głosu oraz umiejętnie i świadomie korzystać z rezonatorów[6].


Źródła

Podczas pisania korzystałem z następujących źródeł:

Równania matematyczne, nieoznaczone wnioski są bazowane na moim własnym doświadczeniu. Korzystałem również z zewnętrznych technologii, m.in. LaTeX.